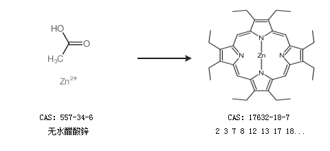
基本信息:
中文名稱 2 3 7 8 12 13 17 18-八乙基-21H 23H-卟啉鋅
英文名稱 zinc octaethylporphyrin
英文別名 3,6,9,12,15,18,21,24-Octaoxaoctatriacontan-1-ol;Tetradecyl octaethylene glycol ether;C14E8;Tetradecyloctaglycol;Octaethylene glycol monotetradecyl ether;2,3,7,8,12,13,17,18-octaethyl-21H,23H-porphine zinc;Polyoxyethylene 8 myristyl ether;zinc-2,3,7,8,12,13,17,18-octaethyl-21H,23H-porphyrin;(2,3,7,8,12,13,17,18-octaethylporphyrinato)zinc(II);
CAS號 17632-18-7
合成路線:
1.通過無水醋酸鋅和2,3,7,8,12,13,17,18-八乙基-21H,23H-卟吩合成2 3 7 8 12 13 17 18-八乙基-21H 23H-卟啉鋅

2.通過無水醋酸鋅合成2 3 7 8 12 13 17 18-八乙基-21H 23H-卟啉鋅

合成路線僅供參考