基本信息:
中文名稱 N,N-二乙基-1,1,2,3,3,3-六氟丙胺
中文別名 石川試劑;
英文名稱 N,N-Diethyl-1,1,2,3,3,3-hexafluoropropylamine
英文別名 Hexafluoropropene Diethylamine;F3CCHFCF2NEt2;SHIKAWA''S REAGENT;1,1,2,3,3,3-Hexafluoropropyldiethylamine;ISHIKAWA''S REAGENT;Ishikawa’s;Ishikawas;Hexafluoro-1-diethylamino-propane;diethyl-1,1,2,3,3,3-hexafluoropropylamine;Ishikawa''s Reagent MEC-81;
CAS號(hào) 309-88-6
合成路線:
1.通過六氟丙烯和二乙胺合成N,N-二乙基-1,1,2,3,3,3-六氟丙胺

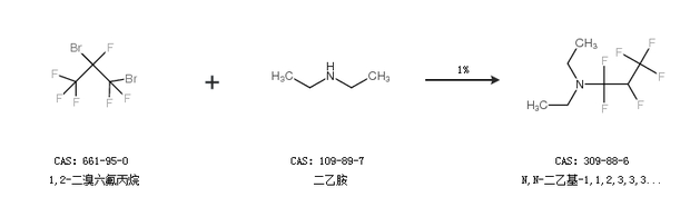
2.通過1,2-二溴六氟丙烷和二乙胺合成N,N-二乙基-1,1,2,3,3,3-六氟丙胺,收率約1%;

合成路線僅供參考