基本信息:
中文名稱 N-alpha-Cbz-L-賴氨酸
中文別名 CBZ-L-賴氨酸;Nα-芐氧羰基-L-賴氨酸;N(α)-芐氧羰基-L-賴氨酸;芐氧羰基-L-賴氨酸;N-alpha-芐氧羰基-L-賴氨酸;N-芐氧羰基-L-賴氨酸;Cbz-L-賴氨酸;α-N-芐氧羰基-L-賴氨酸;N-α-Cbz-L-賴氨酸;
英文名稱 (2S)-6-amino-2-(phenylmethoxycarbonylamino)hexanoic acid
英文別名 Z-Lys-OH;Nα-Cbz-L-lysine;Nalpha-(Carbobenzyloxy)-L-lysine;Nalpha-Z-L-Lysine;carbobenzoxy-L-lysine;N-Carbobenzoxy-L-lysine;CBZ-L-Lys-OH;N2-Cbz-L-lysine;(S)-6-Amino-2-(((benzyloxy)carbonyl)amino)hexanoic acid;Nα-Carbobenzoxy-L-lysine;Nalpha-Cbz-L-lysine;Cbz-Lys-OH;n-|A-carbobenzoxy-l-lysine;e-carbobenzyloxy-L-lysine;
CAS號 2212-75-1
合成路線:
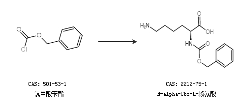
1.通過氯甲酸芐酯合成N-alpha-Cbz-L-賴氨酸

2.通過Nε-Boc-Nα-Cbz-L-賴氨酸合成N-alpha-Cbz-L-賴氨酸

合成路線僅供參考