基本信息:
中文名稱 紫脲酸銨
中文別名 紅紫酸銨;5,5''-次氮基二巴比土酸銨鹽;骨螺紫;氨基紫色酸;紫尿酸胺;
英文名稱 Murexide
英文別名 ammonium 5-(2,4,6-trioxoperhydropyrimidin-5-ylideneamino)barbiturate;(2,4,6-Trioxo-hexahydro-pyrimidin-5-yl)-(2,4,6-trioxo-tetrahydro-pyrimidin-5-yliden)-amin,Ammonium-Salz;5,5''-Nitrilodibarbituric acid monoammonium salt;Ammonium Purpurate;Naples red;S NO 1138;(2,4,6-trioxo-hexahydro-pyrimidin-5-yl)-(2,4,6-trioxo-tetrahydro-pyrimidin-5-yliden)-amin,ammonium salt;monoammoniumsalt;5-[(hexahydro-2,4,6-trioxo-5-pyrimidinyl)imino]-2,4,6(1H,3H,5H)-pyrimidinetrione,monoammonium salt;
CAS號 3051-09-0
合成路線:
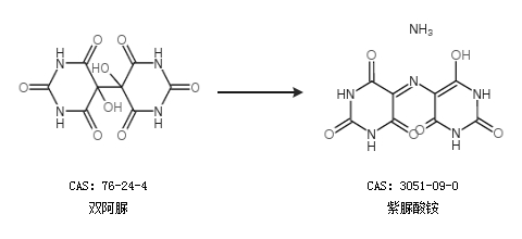
1.通過雙阿脲合成紫脲酸銨

2.通過水合成紫脲酸銨

合成路線僅供參考