基本信息:
中文名稱 5-硝基吲唑
中文別名 5-硝基-1H-1,2-二氮雜茚;5-硝基-1H-吲唑;5-硝基-1H-吲唑;5-硝基-1H-1,2-二氮雜茚,5-硝基-1H-吲哚;
英文名稱 5-Nitroindazole
英文別名 5-Nitro-1H-indazole;5-nitro-1H-indazole;
CAS號(hào) 5401-94-5
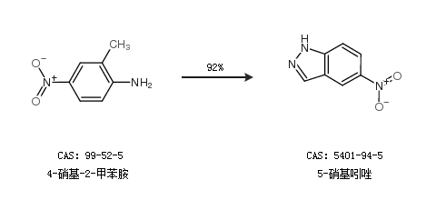
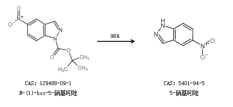
合成路線:
1.通過4-硝基-2-甲苯胺合成5-硝基吲唑,收率約92%;

2.通過N-(1)-boc-5-硝基吲唑合成5-硝基吲唑,收率約96%;

合成路線僅供參考