基本信息:
中文名稱 色酮-2-甲酸
中文別名 4-氧代-4H-1-苯并吡喃-2-甲酸;色酮甲酸;4-苯并吡喃酮-2-羧酸;4-氧代-4H-1-苯并吡喃-2-羧酸;4-苯并吡喃酮-2-羧酸,色酮-2-羧酸;
英文名稱 4-Oxo-4H-1-benzopyran-2-carboxylic acid
英文別名 4-oxochromene-2-carboxylic acid;ChroMone-2-carboxylic Acid;4-Oxo-4H-chromene-2-carboxylic acid;
CAS號 4940-39-0
合成路線:
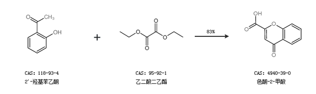
1.通過2''-羥基苯乙酮和乙二酸二乙酯合成色酮-2-甲酸,收率約83%;

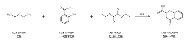
2.通過乙醚、2''-羥基苯乙酮和乙二酸二乙酯合成色酮-2-甲酸,收率約82%;

中華試劑網提醒:合成路線僅供參考