基本信息:
中文名稱 對特辛基苯酚
中文別名 辛基酚;4-(1,1,3,3-四甲基丁基)苯酚;4-(叔辛基)苯酚;4-叔辛基苯酚;
英文名稱 4-tert-Octylphenol
英文別名 4-(2,4,4-Trimethylpentan-2-yl)phenol;p-tert-Octylphenol;4-(1,1,3,3-TetraMethylbutyl)phenol;t-octylphenol;4-Tert-Octylphenol;tert-octylphenol;
CAS號 140-66-9
合成路線:
1.通過2,4,4-三甲基-1-戊烯和苯酚合成對特辛基苯酚

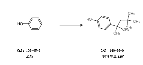
2.通過苯酚合成對特辛基苯酚

合成路線僅供參考