基本信息:
中文名稱 2-氨基苯并噻唑
中文別名 鈰(III)離子載體;2-苯基噻唑胺;2-胺苯并噻唑;2-苯并噻唑胺;2-氨基苯駢噻唑;2-氨基苯駢噻唑;2-苯基噻唑胺;普拉克索雜質(苯并[d]噻唑-2-胺);苯并[d]噻唑-2-胺;
英文名稱 2-Benzothiazolamine
英文別名 Benzothiazole-2-ylamine;2-Aminobenzothiazole;1,3-benzothiazol-2-amine;Benzo[d]thiazol-2-amine;
CAS號 136-95-8
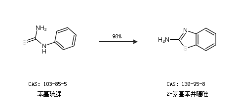
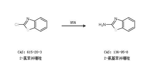
合成路線:
1.通過苯基硫脲合成2-氨基苯并噻唑,收率約98%;

2.通過2-氯苯并噻唑合成2-氨基苯并噻唑,收率約95%;

合成路線僅供參考