基本信息:
中文名稱 2,2,3,3,4,4,5-七氯聯(lián)苯
中文別名 2,2'',3,3'',4,4'',5-七氯聯(lián)苯;
英文名稱 1,2,3,4-tetrachloro-5-(2,3,4-trichlorophenyl)benzene
英文別名 PCB No 170;1,1''-Biphenyl,2,2'',3,3'',4,4'',5-heptachloro;PCB 170;2,2'',3,3'',4,4'',5-HEPTACHLOROBIPHENYL;2,2'',3,3'',4,4'',5-Heptachloro-1,1''-biphenyl;2,2'',3,3'',4,4'',5-heptachlorinated biphenyl;
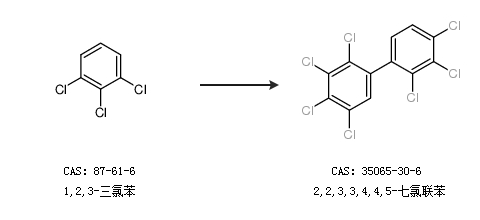
CAS號 35065-30-6
合成路線:
1.通過1,2,3-三氯苯合成2,2,3,3,4,4,5-七氯聯(lián)苯

2.通過2,3,4,5-四氯苯胺和1,2,3-三氯苯合成2,2,3,3,4,4,5-七氯聯(lián)苯

合成路線僅供參考