基本信息:
中文名稱 金絲桃苷
中文別名 槲皮素-3-D-半乳糖苷;2-(3,4-二羥基苯基)-3-(beta-D-吡喃半乳糖氧基)-5,7-二羥基-4H-1-苯并吡喃-4-酮;槲皮素-3-半乳糖甙;海棠因;海棠因;金絲桃甙;
英文名稱 quercetin 3-O-β-D-galactopyranoside
英文別名 hyperozide;quercetin 3-D-galactoside;HYPERIN;quercetin 3-O-beta-D-galactopyranoside;Hyperoside;hyperasid;quercetin-3-galactoside;Quercetin 3-galactoside;Quercetin 3-D-galactoside;HYPEROSID;quercetin-3-O-galactoside;
CAS號 482-36-0
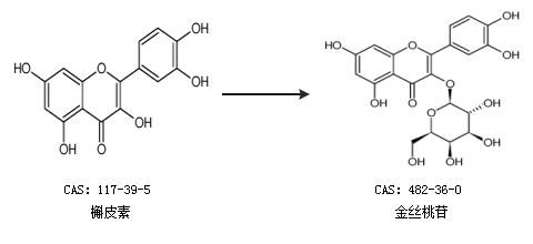
合成路線:
1.通過槲皮素合成金絲桃苷

2.通過2”-O-沒食子?;鸾z桃苷合成金絲桃苷

合成路線僅供參考