基本信息:
中文名稱 白藜蘆醇
中文別名 白黎蘆醇;培利替尼;芪三酚;芪三酚,3,4'',5-三羥基芪,(E)-5-[2-(4-羥苯基)-乙烯基]-1,3-苯二酚;3,4,5-三羥基反式;芪三酚;淫羊藿素;白藜蘆醇.3,4'',5-三羥基芪,虎杖甙元;反式-1,2-(3,4'',5-三羥基二苯基)乙烯;(E)-5-[2-(4-羥苯基)-乙烯基]-1,3-苯二酚;茋三酚;3,4'',5-三羥基茋;3,4'',5-三羥基芪;3,4'',5-三羥基芪;3,4'',5-三羥基二苯乙烯;虎杖甙元;
英文名稱 resveratrol
英文別名 3'',4,5''-trihydroxy-trans-stilbene;RESVERTROL;RESVERATROLE;(E)-5-(4-Hydroxystyryl)benzene-1,3-diol;3,4'',5-Trihydroxy-trans-stilbene;trans-3,5,4''-trihydroxy-stilbene;trans-1,2-(3,4'',5-Trihydroxydiphenyl)ethylene;5-[(1E)-2-(4-Hydroxyphenyl)ethenyl]-1,3-benzenediol;Resveratrol;TRANS-RESVERATROL;
CAS號 501-36-0
合成路線:
1.通過3,4'',5-三甲氧基-反-二苯代乙烯合成白藜蘆醇,收率約92%;

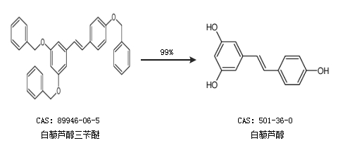
2.通過白藜蘆醇三芐醚合成白藜蘆醇,收率約99%;

中華試劑網(wǎng)提醒 合成路線僅供參考