基本信息:
中文名稱 3,4,7,8-四甲基-1,10-菲羅啉
中文別名 3,4,7,8-四甲基-1,10-鄰二氮雜菲;3,4,7,8-四甲基-1,10-菲啰啉;
英文名稱 3,4,7,8-Tetramethyl-1,10-phenanthroline
英文別名 3,4,7,8-tetra-methyl-1,10-phenanthroline;1,10-Phenanthroline,3,4,7,8-tetramethyl;3,4,7,8-tetramethylpyridino[3,2-h]quinoline;3,4,7,8-tetramethyl-phen;3,4,7,8-tmphen;3,4,7,8-Me4phen;
CAS號 1660-93-1
合成路線:
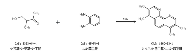
1.通過4-羥基-3-甲基-2-丁酮和1,2-苯二胺合成3,4,7,8-四甲基-1,10-菲羅啉,收率約49%;

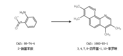
2.通過2-硝基苯胺合成3,4,7,8-四甲基-1,10-菲羅啉

中華試劑網(wǎng)提醒:合成路線僅供參考