基本信息:
中文名稱 5-甲基脲嘧啶
中文別名 胸腺素,5-甲基尿嘧啶;5-甲基尿嘧啶;2,4-二羥基-5-甲基嘧啶;胸腺嘧啶;5-甲基-脲嘧啶;
英文名稱 thymine
英文別名 THYMINE extrapure;2,4-dihydroxy-5-methylpyrimidine;Clospirazine;D-THYMIDINE;ThyMine 5GR;Thymine;5-methylpyrimidine-2,4-dione;THYMIN;5-Methyluracil;
CAS號(hào) 65-71-4
合成路線:
1.通過(guò)2,2''-O-脫水-5-甲基尿嘧啶核苷和三(2-甲氧基乙氧基)硼酸合成5-甲基脲嘧啶

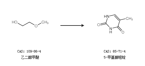
2.通過(guò)乙二醇甲醚合成5-甲基脲嘧啶

中華試劑網(wǎng)提醒:合成路線僅供參考