基本信息:
中文名稱 N-芐氧羰基-L-酪氨酸
中文別名 Z-L-酪氨酸;N-CBZ-L-酪氨酸;芐氧羰基-L-酪氨酸;(S)-N-(芐氧甲?;?酪氨酸;CBZ-L-酪氨酸/2-{[(芐氧基)羰基]氨基-3-(4-羥基苯基)丙酸;CBZ-L-酪氨酸;N-Cbz-L-酪氨酸;
英文名稱 Z-TYR-OH
英文別名 Z-Tyr-OH315.36;Z-L-TYROSINE;(S)-2-(((Benzyloxy)carbonyl)amino)-3-(4-hydroxyphenyl)propanoic acid;N-Benzyloxycarbonyl-L-tyrosine;CBZ-L-TYROSINE;Z-TYROSINE;N-Carbobenzoxy-L-tyrosine;N-Cbz-L-TyrOH;N-Carbobenzyloxy-L-tyrosine;N-benzyloxycarbonyl-L-tyrosine;CBZ-L-Tyrosine-OH;CBZ-L-TYR-OH;Z-TYR-OH.H2O;N-Carbobenzyloxy-L-tyrosine,Z-L-Tyrosine;N-CBZ-L-TYROSINE;N-Cbz-L-tyrosine;
CAS號 1164-16-5
合成路線:
1.通過L-酪氨酸和氯甲酸芐酯合成N-芐氧羰基-L-酪氨酸,收率約97%;

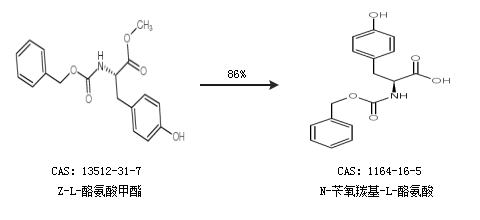
2.通過Z-L-酪氨酸甲酯合成N-芐氧羰基-L-酪氨酸,收率約86%;

合成路線僅供參考