基本信息:
中文名稱 4,5-二甲基噻唑
英文名稱 4,5-dimethyl-1,3-thiazole
英文別名 Thiazole,4,5-dimethyl;4,5-DiMethylthiazole;4,5-DIMETHYLTHIAZOLE;EINECS 222-703-3;FEMA No. 3274;4,5-Dimethyl-thiazol;
CAS號 3581-91-7
合成路線:
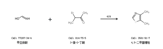
1.通過甲亞胺酸和3-溴-2-丁酮合成4,5-二甲基噻唑,收率約41%;

2.通過2-氨基-4,5-二甲基噻唑合成4,5-二甲基噻唑,收率約84%;

中華試劑網(wǎng)提醒:合成路線僅供參考