基本信息:
中文名稱 雙(4-叔丁基苯基)胺
中文別名 4,4 -二叔丁基二苯基胺;二(4-叔丁基苯基)胺;
英文名稱 Bis(4-<i>tert</i>-butylphenyl)amine
英文別名 4,4''-Di-tert-butyldiphenylamine;Bis(4-tert-butylphenyl)aMine;4-tert-butyl-N-(4-tert-butylphenyl)aniline;
CAS號 4627-22-9
合成路線:
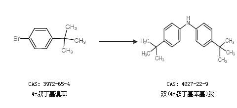
1.通過4-叔丁基溴苯合成雙(4-叔丁基苯基)胺

2.通過4-叔丁基溴苯和4-叔丁基苯胺合成雙(4-叔丁基苯基)胺,收率約79%;

中華試劑網(wǎng)提醒:合成路線僅供參考