基本信息:
中文名稱 4-(4-吡啶基)-2-氨基噻唑
中文別名 2-氨基-4-(4-吡啶基)噻唑;4-吡啶基-4-噻唑-2-胺;2-氨基-4-吡啶-4-基-1,3-噻唑;
英文名稱 4-pyridin-4-yl-1,3-thiazol-2-amine
英文別名 2-amino-4-pyridin-4-yl-1,3-thiazole;4-Pyridin-4-yl-thiazol-2-ylamine;
CAS號 30235-28-0
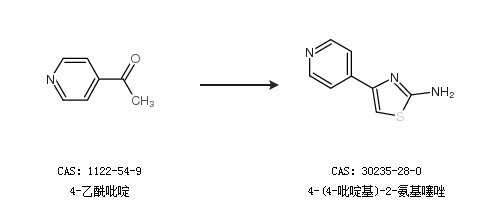
合成路線:
1.通過2-溴-1-吡啶-4-基乙酮合成4-(4-吡啶基)-2-氨基噻唑,收率約66%;

2.通過4-乙酰吡啶合成4-(4-吡啶基)-2-氨基噻唑

中華試劑網(wǎng)提醒:合成路線僅供參考