基本信息:
中文名稱 1,3-苯并噻唑-2-羧酸乙酯
中文別名 苯并噻吩-2-甲酸乙酯;2-苯并噻唑羧酸乙酯;苯并噻唑-2-羧酸乙酯;
英文名稱 ethyl 1,3-benzothiazole-2-carboxylate
英文別名 benzothiazole-2-ethyl carboxylate;Benzothiazole-2-carboxylic acid ethyl ester;Ethyl Benzothiazole-2-carboxylate;Ethyl 1,3-benzothiazole-2-carboxylate;Benzothiazole-2-carboxylic Acid Ethyl Ester;ethyl 2-benzothiazolecarboxylate;ethyl benzothiazole-2-carboxylate;2-benzothiazolecarboxylic acid,ethyl ester;Ethyl1,3-benzothiazole-2-carboxylate;2-ethoxycarbonylbenzothiazole;Ethyl benzo[d]thiazole-2-carboxylate;
CAS號(hào) 32137-76-1
合成路線:
1.通過苯并噻唑和甲酸乙酯合成1,3-苯并噻唑-2-羧酸乙酯,收率約74%;

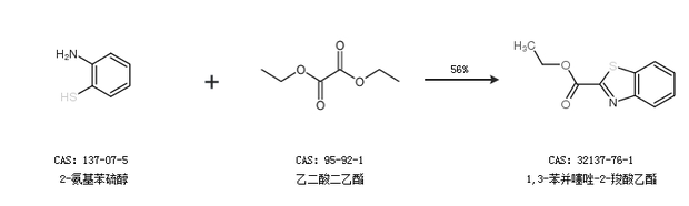
2.通過2-氨基苯硫醇和乙二酸二乙酯合成1,3-苯并噻唑-2-羧酸乙酯,收率約56%;

合成路線僅供參考